ASHRAE
EDA for ASHRAEをやってみる
import numpy as np
import pandas as pd
import matplotlib
import matplotlib.pyplot as plt
import seaborn as sns
import warnings
import gc
warnings.simplefilter('ignore') #ワーニングを無視する設定
matplotlib.rcParams['figure.dpi'] = 100
sns.set()
%matplotlib inline
building = pd.read_csv('input/building_metadata.csv')
weather_train = pd.read_csv('input/weather_train.csv')
weather_test = pd.read_csv('input/weather_test.csv')
train = pd.read_csv('input/train.csv')
test = pd.read_csv('input/test.csv')
Merging everything into two datasets: train and test
train.head()

building.head()

weather_train.head()

train = train.merge(building, on='building_id', how='left')
test = test.merge(building, on='building_id', how='left')
train = train.merge(weather_train, on=['site_id', 'timestamp'], how='left')
test = test.merge(weather_test, on=['site_id', 'timestamp'], how='left')
del weather_train, weather_test,building
gc.collect(); #明示的にガベージコレクションを行うとき呼び出す
#6.17GB-> 4.55GB = 1.62GBの節約
# Saving some memory
d_types = {'building_id': np.int16,
'meter': np.int8,
'site_id': np.int8,
'primary_use': 'category',
'square_feet': np.int32,
'year_built': np.float16,
'floor_count': np.float16,
'air_temperature': np.float32,
'cloud_coverage': np.float16,
'dew_temperature': np.float32,
'precip_depth_1_hr': np.float16,
'sea_level_pressure': np.float32,
'wind_direction': np.float16,
'wind_speed': np.float32}
for feature in d_types:
train[feature] = train[feature].astype(d_types[feature])
test[feature] = test[feature].astype(d_types[feature])
train["timestamp"] = pd.to_datetime(train["timestamp"])
test["timestamp"] = pd.to_datetime(test["timestamp"])
gc.collect();

Amount of data and NaNs
print(train.shape)
print(test.shape)

train.count()

len(train)

train_data = (train.count() / len(train)).drop('meter_reading').sort_values().values #各列の欠損状況、欠損なしなら1.0
ind = np.arange(len(train_data))
width = 0.35
fig, axes = plt.subplots(1,1,figsize=(14, 6), dpi=100)
tr = axes.bar(ind, train_data, width, color='royalblue')
test_data = (test.count() / len(test)).drop('row_id').sort_values().values
tt = axes.bar(ind+width, test_data, width, color='seagreen')
axes.set_ylabel('Amount of data available');
axes.set_xticks(ind + width / 2)
axes.set_xticklabels((train.count() / len(train)).drop('meter_reading').sort_values().index, rotation=40)
axes.legend([tr, tt], ['Train', 'Test']);

Mean meter reading by day
# 時間軸の長さが違っても同一グラフ内に描画している,月単位でリサンプリしたグラフを追加
fig, axes = plt.subplots(1, 1, figsize=(14, 6), dpi=100)
train[['timestamp', 'meter_reading']].set_index('timestamp').resample('H').mean()['meter_reading'].plot(ax=axes, label='By hour', alpha=0.8).set_ylabel('Meter reading', fontsize=14);
train[['timestamp', 'meter_reading']].set_index('timestamp').resample('D').mean()['meter_reading'].plot(ax=axes, label='By day', alpha=1).set_ylabel('Meter reading', fontsize=14);
train[['timestamp', 'meter_reading']].set_index('timestamp').resample('M').mean()['meter_reading'].plot(ax=axes, label='By Month', alpha=1).set_ylabel('Meter reading', fontsize=14);
axes.set_title('Mean Meter reading by hour and day', fontsize=24);
axes.legend();
# 建物別に描画
fig, axes = plt.subplots(8,2,figsize=(14, 30), dpi=100)
for i in range(train['site_id'].nunique()):
train[train['site_id'] == i][['timestamp', 'meter_reading']].set_index('timestamp').resample('H').mean()['meter_reading'].plot(ax=axes[i%8][i//8], alpha=0.8, label='By hour', color='tab:blue').set_ylabel('Mean meter reading', fontsize=13);
train[train['site_id'] == i][['timestamp', 'meter_reading']].set_index('timestamp').resample('D').mean()['meter_reading'].plot(ax=axes[i%8][i//8], alpha=1, label='By day', color='tab:orange').set_xlabel('');
axes[i%8][i//8].legend();
axes[i%8][i//8].set_title('site_id {}'.format(i), fontsize=13);
plt.subplots_adjust(hspace=0.45)

Mean meter reading by primary_use for site_id==13
train['primary_use'].unique()
# 全部で16
# Education 教育
# Lodging/residential 宿泊
# Office
# Entertainment/public assembly エンターテイメント/公開集会
# Healthcare 健康管理
# Utility
# Technology/science
# Manufacturing/industrial 製造/産業
# Services

# primary_use 建物の主な用途(教育とか)
fig, axes = plt.subplots(8,2,figsize=(14, 30), dpi=100)
for i, use in enumerate(train['primary_use'].value_counts().index.to_list()):
try:
train[(train['site_id'] == 13) & (train['primary_use'] == use)][['timestamp', 'meter_reading']].set_index('timestamp').resample('H').mean()['meter_reading'].plot(ax=axes[i%8][i//8], alpha=0.8, label='By hour', color='tab:blue').set_ylabel('Mean meter reading', fontsize=13);
train[(train['site_id'] == 13) & (train['primary_use'] == use)][['timestamp', 'meter_reading']].set_index('timestamp').resample('D').mean()['meter_reading'].plot(ax=axes[i%8][i//8], alpha=1, label='By day', color='tab:orange').set_xlabel('');
axes[i%8][i//8].legend();
except TypeError:
pass
axes[i%8][i//8].set_title(use, fontsize=13);
plt.subplots_adjust(hspace=0.45)

# メータの種類は4つある
# 0: 'electricity', 1: 'chilledwater', 2: 'steam', 3: 'hotwater'
fig, axes = plt.subplots(3,1,figsize=(14, 18), dpi=100)
for i in train[(train['site_id'] == 13) & (train['primary_use'] == 'Education')]['meter'].value_counts(dropna=False).index.to_list():
print(i)
train[(train['site_id'] == 13) & (train['primary_use'] == 'Education') & (train['meter'] == i)][['timestamp', 'meter_reading']].set_index('timestamp').resample('H').mean()['meter_reading'].plot(ax=axes[i], alpha=0.8, label='By hour', color='tab:blue').set_ylabel('Mean meter reading', fontsize=13);
train[(train['site_id'] == 13) & (train['primary_use'] == 'Education') & (train['meter'] == i)][['timestamp', 'meter_reading']].set_index('timestamp').resample('D').mean()['meter_reading'].plot(ax=axes[i], alpha=1, label='By day', color='tab:orange').set_xlabel('');
axes[i].legend();
axes[i].set_title('Meter: ' + str(i), fontsize=13);

# site_id == 13 で meter == 2(steam) primary_use==教育
fig, axes = plt.subplots(9,2,figsize=(14, 36), dpi=100)
for i, building in enumerate(train[(train['site_id'] == 13) & (train['primary_use'] == 'Education') & (train['meter'] == 2)]['building_id'].value_counts(dropna=False).index.to_list()):
train[(train['site_id'] == 13) & (train['primary_use'] == 'Education') & (train['meter'] == 2) & (train['building_id'] == building)][['timestamp', 'meter_reading']].set_index('timestamp').resample('H').mean()['meter_reading'].plot(ax=axes[i%9][i//9], alpha=0.8, label='By hour', color='tab:blue').set_ylabel('Mean meter reading', fontsize=13);
train[(train['site_id'] == 13) & (train['primary_use'] == 'Education') & (train['meter'] == 2) & (train['building_id'] == building)][['timestamp', 'meter_reading']].set_index('timestamp').resample('D').mean()['meter_reading'].plot(ax=axes[i%9][i//9], alpha=1, label='By day', color='tab:orange').set_xlabel('');
axes[i%9][i//9].legend();
axes[i%9][i//9].set_title('building_id: ' + str(building), fontsize=13);
plt.subplots_adjust(hspace=0.45)

# 特定の建物 == 1099のスチームメーターを詳しく調べている
fig, axes = plt.subplots(3,1,figsize=(14, 20), dpi=100)
train[(train['meter'] == 2) & (train['building_id'] == 1099)][['timestamp', 'meter_reading']].set_index('timestamp').resample('H').mean()['meter_reading'].plot(ax=axes[0], alpha=0.8, label='By hour', color='tab:blue').set_ylabel('Mean meter reading', fontsize=13);
train[(train['meter'] == 2) & (train['building_id'] == 1099)][['timestamp', 'meter_reading']].set_index('timestamp').resample('D').mean()['meter_reading'].plot(ax=axes[0], alpha=1, label='By day', color='tab:orange').set_xlabel('');
train[['timestamp', 'meter_reading']].set_index('timestamp').resample('H').mean()['meter_reading'].plot(ax=axes[1], alpha=0.8, label='By hour', color='tab:blue').set_ylabel('Mean meter reading', fontsize=13);
train[['timestamp', 'meter_reading']].set_index('timestamp').resample('D').mean()['meter_reading'].plot(ax=axes[1], alpha=1, label='By day', color='tab:orange').set_xlabel('');
train[~((train['meter'] == 2) & (train['building_id'] == 1099))][['timestamp', 'meter_reading']].set_index('timestamp').resample('H').mean()['meter_reading'].plot(ax=axes[2], alpha=0.8, label='By hour', color='tab:blue').set_ylabel('Mean meter reading', fontsize=13);
train[~((train['meter'] == 2) & (train['building_id'] == 1099))][['timestamp', 'meter_reading']].set_index('timestamp').resample('D').mean()['meter_reading'].plot(ax=axes[2], alpha=1, label='By day', color='tab:orange').set_xlabel('');
axes[0].set_title('building_id==1099 and meter==2', fontsize=13);
axes[1].set_title('Full dataset', fontsize=13);
axes[2].set_title('building_id 1099 excluded', fontsize=13);
plt.subplots_adjust(hspace=0.45)

Number of observations by day
# value_counts : ユニークな要素の値とその出現回数を返す
# dt.floorは時間の切捨てをするdで指定してあったら11/15 01:15->11/15になる
fig, axes = plt.subplots(1, 1, figsize=(14, 6))
train['timestamp'].dt.floor('d').value_counts().sort_index().plot(ax=axes).set_xlabel('Date', fontsize=14);
test['timestamp'].dt.floor('d').value_counts().sort_index().plot(ax=axes).set_ylabel('Number of observations', fontsize=14);
axes.set_title('Number of observations by day', fontsize=16);
axes.legend(['Train', 'Test']);

Meter
# value_countsはユニークな要素の値がindex、その出現個数がdataとなるpandas.Seriesを返す
# value_countsのdropnaはFalseにするとNanを除去せずにカウントする
m = train['meter'].value_counts()
print(type(m[0]))
print(m.shape)
m

train_data = train['meter'].value_counts(dropna=False, normalize=True).sort_index().values
ind = np.arange(len(train_data))
width = 0.35
#
print(ind)
fig, axes = plt.subplots(1,1,figsize=(14, 6), dpi=100)
tr = axes.bar(ind, train_data, width, color='royalblue')
test_data = test['meter'].value_counts(dropna=False, normalize=True).sort_index().values
tt = axes.bar(ind+width, test_data, width, color='seagreen')
axes.set_ylabel('Normalized number of observations');
axes.set_xlabel('meter type');
axes.set_xticks(ind + width / 2)
axes.set_xticklabels(train['meter'].value_counts().sort_index().index, rotation=0)
# twinxは2軸グラフを描くとき使う(棒グラフ+折れ線)
axes2 = axes.twinx()
mr = axes2.plot(ind, train[['meter', 'meter_reading']].groupby('meter')['meter_reading'].mean().sort_index().values, 'D-', color='tab:orange', label='Mean meter reading');
axes2.grid(False);
axes2.tick_params(axis='y', labelcolor='tab:orange');
axes2.set_ylabel('Mean meter reading by meter type', color='tab:orange');
axes.legend([tr, tt], ['Train', 'Test'], facecolor='white');
axes2.legend(loc=5, facecolor='white');

fig, axes = plt.subplots(1, 1, figsize=(14, 6))
sns.boxplot(x='meter', y='meter_reading', data=train, showfliers=False);

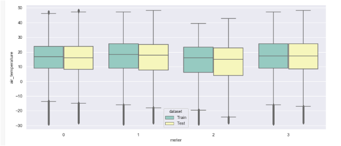
tmp_df = pd.concat([train[['meter', 'air_temperature']], test[['meter', 'air_temperature']]], ignore_index=True)
tmp_df['dataset'] = 'Train'
tmp_df.loc[tmp_df.index > len(train), 'dataset'] = 'Test'
fig, axes = plt.subplots(1, 1, figsize=(14, 6))
sns.boxplot(x='meter', y='air_temperature', data=tmp_df, hue='dataset', palette="Set3");
del tmp_df
gc.collect();

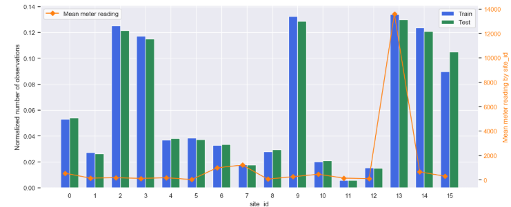
train_data = train['site_id'].value_counts(dropna=False, normalize=True).sort_index().values
ind = np.arange(len(train_data))
width = 0.35
fig, axes = plt.subplots(1,1,figsize=(14, 6), dpi=100)
tr = axes.bar(ind, train_data, width, color='royalblue')
test_data = test['site_id'].value_counts(dropna=False, normalize=True).sort_index().values
tt = axes.bar(ind+width, test_data, width, color='seagreen')
axes.set_ylabel('Normalized number of observations');
axes.set_xlabel('site_id');
axes.set_xticks(ind + width / 2)
axes.set_xticklabels(train['site_id'].value_counts().sort_index().index, rotation=0)
axes2 = axes.twinx()
mr = axes2.plot(ind, train[['site_id', 'meter_reading']].groupby('site_id')['meter_reading'].mean().sort_index().values, 'D-', color='tab:orange', label='Mean meter reading');
axes2.grid(False);
axes2.tick_params(axis='y', labelcolor='tab:orange');
axes2.set_ylabel('Mean meter reading by site_id', color='tab:orange');
axes.legend([tr, tt], ['Train', 'Test'], facecolor='white');
axes2.legend(loc=2, facecolor='white');

train_data = train['primary_use'].value_counts(dropna=False, normalize=True).sort_index().values
ind = np.arange(len(train_data))
width = 0.35
fig, axes = plt.subplots(1,1,figsize=(14, 6), dpi=100)
tr = axes.bar(ind, train_data, width, color='royalblue')
test_data = test['primary_use'].value_counts(dropna=False, normalize=True).sort_index().values
tt = axes.bar(ind+width, test_data, width, color='seagreen')
axes.set_ylabel('Normalized number of observations');
axes.set_xlabel('primary_use');
axes.set_xticks(ind + width / 2)
axes.set_xticklabels(train['primary_use'].value_counts().sort_index().index, rotation=90)
axes2 = axes.twinx()
mr = axes2.plot(ind, train[['primary_use', 'meter_reading']].groupby('primary_use')['meter_reading'].mean().sort_index().values, 'D-', color='tab:orange', label='Mean meter reading');
axes2.grid(False);
axes2.tick_params(axis='y', labelcolor='tab:orange');
axes2.set_ylabel('Mean meter reading by primary_use', color='tab:orange');
axes.legend([tr, tt], ['Train', 'Test'], facecolor='white');
axes2.legend(loc=5, facecolor='white');
